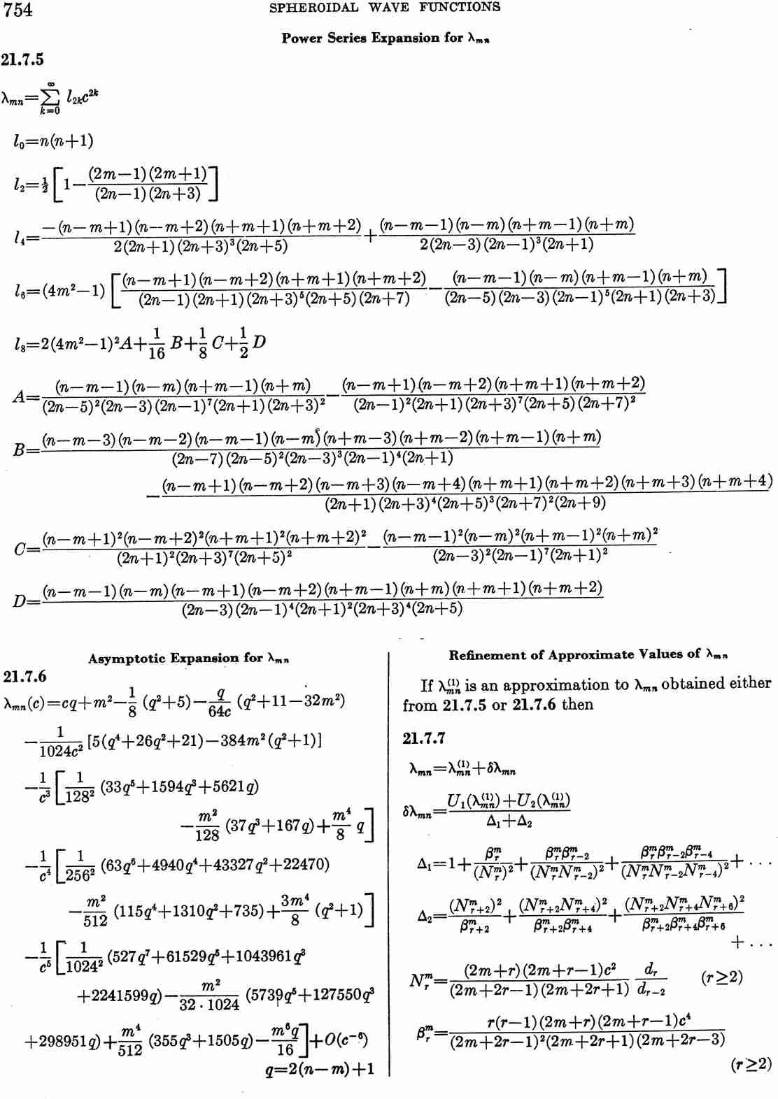
<< To page 753 Table of Contents Subject Index To page 755 >>

image of page 754