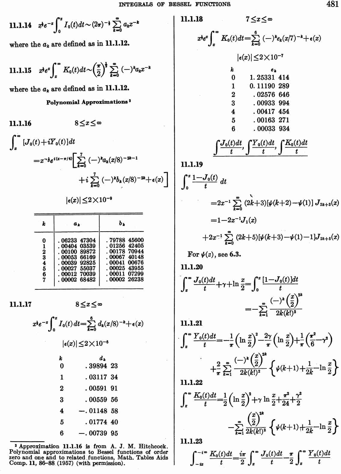
<< To page 480 Table of Contents Subject Index To page 482 >>

image of page 481